Оценка относительной влажности на высотах от 0 до 1000 м
Данный раздел посвящен еще одной возможности использования прибора MTP-5. Т.к. прибор MTP-5 выдаёт высотный профиль температуры, то на основании этого профиля можно оценить профиль относительной влажности.
Относительная влажность рассчитывается по формулам (1), (4) работы В.В.Миняева "Расчет параметров атмосферы с учетом влажности воздуха". Относительная влажность на нулевом уровне определяется с помощью метеостанции WXT520.
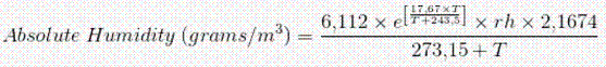
По известной относительной влажности можно подсчитать абсолютную по следующей формуле, приведенной здесь :

П рипомощи прибора MTP-5 можно также определить точку росы.
